Kualitas daya listrik (power quality) adalah istilah yang menggambarkan seberapa baik sumber listrik memenuhi kebutuhan beban dalam hal tegangan, frekuensi, kontinuitas, dan bentuk gelombang. Idealnya, peralatan listrik menerima tegangan dan frekuensi yang stabil sesuai nilai nominal sehingga dapat bekerja efisien dan aman. Namun pada kenyataannya, jaringan tenaga sering mengalami berbagai gangguan — seperti tegangan lebih/kurang (over/under voltage), transien (lonjakan singkat), harmonisa (distorsi bentuk gelombang), dan fluktuasi tegangan — yang semuanya termasuk masalah kualitas daya. Gangguan-gangguan ini tidak hanya berdampak pada umur dan performa peralatan, tetapi juga pada kenyamanan pengguna dan kontinuitas proses industri.

Salah satu fenomena penting dalam ranah kualitas daya adalah flicker tegangan. Secara umum flicker muncul ketika tegangan suplai mengalami fluktuasi cepat dan berulang sehingga mempengaruhi keluaran cahaya pada lampu atau memicu respons tidak diinginkan pada peralatan elektronik. Meskipun efek paling kasat mata sering terlihat sebagai lampu yang “berkedip” atau “berkelip”, akar masalahnya lebih luas: perubahan arus mendadak yang ditarik oleh beban melalui impedansi jalur menyebabkan variasi tegangan di titik-titik jaringan. Besar kecilnya flicker dipengaruhi oleh dua faktor utama: karakteristik beban yang menimbulkan modulasi daya (seberapa cepat dan besar perubahan daya terjadi) dan karakteristik sumber/jaringan (terutama impedansi sumber dan konfigurasi distribusi).
Fenomena flicker sangat relevan pada lingkungan industri dan komersial di mana ada beban berdaya besar yang beroperasi secara siklik atau bergantian — contohnya furnace busur listrik, mesin las, motor besar dengan start/stop sering, kompresor, dan peralatan switching berat lainnya. Namun flicker juga dapat muncul di lingkungan residensial bila sumber distribusi tidak memadai atau ketika suatu konsentrasi beban industrilis kecil berada dekat pelanggan. Dampaknya beragam: dari gangguan kenyamanan visual penghuni hingga gangguan proses industri yang sensitif, penurunan kualitas produk, dan potensi klaim terhadap pihak utilitas atau pemilik instalasi
Flicker Tegangan
Flicker tegangan atau sering disebut “power‐line flicker” adalah istilah yang menggambarkan fluktuasi tegangan listrik yang cukup cepat dan berulang sehingga menyebabkan perubahan intensitas cahaya yang tampak (lampu berkelip) dan mengganggu peralatan listrik.

Secara teknis, ketika sebuah beban listrik mengubah arus secara signifikan (misalnya start motor besar, arc furnace, pompa besar) maka sistem distribusi harus menyediakan arus tambahan melalui impedansi sumber, menimbulkan tegangan drop di sumber/impedansi dan menyebabkan tegangan di terminal beban berubah. Perubahan tersebut bisa berupa naik turun tegangan (modulasi tegangan) yang kemudian mempengaruhi cahaya lampu atau performa peralatan lain.
Secara definisi, flicker dapat dinyatakan sebagai “the impression of unsteadiness of visual sensation induced by a light stimulus whose luminance or spectral distribution fluctuates with time”.
Short Term Flicker Severity (Pₛₜ)
Pₛₜ (short term flicker severity) adalah parameter kuantitatif yang digunakan untuk menggambarkan tingkat keparahan flicker dalam jangka waktu pengamatan pendek (10 menit) sesuai standar IEC 61000‑4‑15 dan berkaitan dengan persepsi manusia terhadap perubahan cahaya akibat fluktuasi tegangan.

Nilai Pₛₜ = 1,0 sering dipakai sebagai ambang batas kenyamanan visual untuk instalasi publik/rumah tangga. Nilai di atas 1 menunjukkan gangguan yang mungkin mulai dirasakan oleh manusia sebagai flicker yang mengganggu.
Dalam evaluasi sistem distribusi, Pₛₜ memberikan indikasi langsung bagaimana kondisi fluktuasi tegangan dalam jangka pendek dan seberapa besar potensi efeknya terhadap manusia/pencahayaan/peralatan.
Long Term Flicker Severity (Pₗₜ)
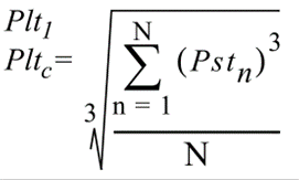
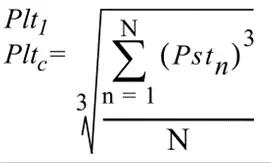
Pₗₜ (long term flicker severity) adalah parameter yang menggambarkan tingkat kegangguan flicker dalam periode yang lebih panjang (2 jam) berdasarkan nilai‐nilai Pₛₜ yang terjadi sebelumnya.

Secara teknis, Pₗₜ dihitung berdasarkan rata-rata kubik dari sejumlah nilai Pₛₜ dalam interval pengamatan 2 jam. Dengan kata lain Plt dapat dihitung dengan formula:

Dalam standar, nilai ambang untuk Pₗₜ lebih rendah dibanding Pₛₜ karena pengamatan jangka panjang menuntut kestabilan sistem yang lebih besar. Sebagai contoh: Pₛₜ ≤ 1,0 dan Pₗₜ ≤ 0,65 menurut standar IEC 61000‑3‑3. Nilai Pₗₜ yang tinggi menunjukkan bahwa sistem secara konsisten mengalami fluktuasi tegangan yang dapat berdampak terus-menerus terhadap kenyamanan atau performa peralatan.
Pₗₜ memberikan gambaran stabilitas sistem distribusi dari perspektif flicker dalam periode operasional rill (2 jam), bukan hanya snapshot 10 menit.
Parameter & Standar Flicker
Beberapa standar utama yang mengatur flicker adalah :
- IEC 61000-4-15: “Electromagnetic compatibility (EMC) – Part 4-15: Testing and measurement techniques – Flickermeter – Functional and design specifications”
- IEC 61000-3-3: “Voltage Fluctuations and Flicker – Limits for equipment connected to low-voltage supply systems”
- IEEE 1453: “Recommended Practice – Adoption of IEC 61000-4-15”
Menurut standar diatas, nilai ambang batas dari flicker dan parameter lainnya adalah sebagai berikut :
- Pₛₜ ≤ 1,0 (untuk pengamatan 10 menit)
- Pₗₜ ≤ 0,65 (pengamatan 2 jam)
- d (steady‐state relative voltage change) ≤ 3%
- dₘₐₓ (maks relatif tegangan berubah antara dua setengah periode) ≤ 4% (kondisi normal) atau hingga 6%/7% tergantung kondisi switching manual/otomatis.
Nilai ambang batas ini dipakai untuk instalasi umum / public, untuk instalasi khusus bisa ada tingkat toleransi lain.
Penyebab & Dampak Flicker
Penyebab Flicker
Berikut bebrapa penyebab utama terjadinya flicker :
- Beban yang berubah cepat atau berulang secara siklik sehingga menyebabkan perubahan arus yang signifikan dalam jaringan, misalnya: mesin las (arc furnace), motor besar yang sering mulai/berhenti, lift, pompa besar, kompresor industri.
- Jaringan listrik dengan impedansi sumber relatif besar (misalnya feeder panjang, transformator kecil dibanding beban, kondisi distribusi di daerah terpencil) → perubahan arus menghasilkan tegangan drop / naik yang terlihat sebagai flicker
- Fluktuasi daya reaktif yang cepat atau dinamis (arus reaktif berubah drastis), menyebabkan perubahan tegangan.
- Transisi switching besar (misalnya start/stop otomatis, peralatan tunggal yang modulasi besar) yang menyebabkan tegangan tertekan setiap kali beban berubah.
- Interaksi dengan fenomena lain seperti harmonisa atau inter‐harmonika yang mempengaruhi kualitas tegangan dan bisa memperburuk efek flicker.
Dampak Flicker
Secara garis besar, terdapat dua kategori dampak flicker yaitu :
- Dampak Kenyamanan Visual
Lampu yang tampak “berkedip” atau “berkelip” karena perubahan tegangan cepat menyebabkan fluktuasi fluks cahaya, mengganggu pengguna, terutama di ruang publik, kantor, atau hunian. - Dampak Peralatan
1) Peralatan yang sensitif terhadap tegangan stabil bisa mengalami gangguan performa: misalnya sistem kontrol, sensor, motor yang harus operasional presisi, atau proses manufaktur otomatis.
2) Pada instalasi industri, flicker yang tinggi dapat menyebabkan downtime, pengurangan output produksi, kerusakan komponen atau peningkatan biaya pemeliharaan karena beban ekstra akibat tegangan fluktuasi.
3) Gangguan visibilitas atau pencahayaan pada aplikasi kritis (misalnya ruang operasi, laboratorium, studio) bisa menyebabkan kualitas kerja menurun.
Karena flicker muncul dari kombinasi beban besar dan jaringan dengan impedansi, maka solusi sering kali harus menyasar keduanya: mengurangi perubahan beban (misalnya dengan soft-starter) dan memperbaiki jaringan (misalnya memperkecil impedansi, meningkatkan kestabilan tegangan). Jika hanya satu sisi diperbaiki, maka flicker bisa tetap muncul dari sisi lain.
Dampak flicker yang tidak tertangani bisa meluas: bukan hanya sebagai isu kenyamanan semata, tetapi bisa berdampak ekonomi signifikan terutama di industri. Oleh karena itu, pengukuran dan analisis flicker secara sistematis penting.
Pengujian Flicker
Pengujian flicker dilakukan dengan peralatan yang harus sesuai dengan standar IEC 61000-4-15 (class A) sebagai bagian dari pengujian kualitas daya. Pengujian flicker dapat dilakukan dengan Power Quality Analyzer, salah satu alatnya yaitu Power Quality Analyzer Hioki PQ3198 yang sudah sesuai dengan standar pengujian (class A).
Power Quality Analyzer Hioki PQ3198 merupakan instrument pengukur kualitas daya dengan akurasi 0.1% (class A) yang bisa mengukur di sistem 1 phase maupun 3 phase. Power Quality Analyzer Hioki PQ3198 mempunyai sampling rate hingga 200kHz untuk parameter tegangan, arus, daya dan lain-lain. Selain itu juga memiliki sampling 2 MHz untuk transient voltage.
Power Quality Analyzer Hioki PQ3198 memiliki sampling interval pengukuran hingga 200 ms sehingga dapat mengukur parameter dalam kerapatan yang sangat kecil. Power Quality Analyzer Hioki PQ3198 dapat digunakan untuk pengukuran di MV maupun LV.

Fenomena flicker tegangan adalah salah satu aspek penting dari kualitas daya listrik yang tidak boleh diabaikan. Meskipun kadang kurang “menonjol” dibanding harmonisa atau transien, tetapi flicker dapat berdampak langsung pada kenyamanan pengguna (lampu berkelip) dan kinerja peralatan industri/perkantoran.
Parameter Pₛₜ (short-term flicker severity) dan Pₗₜ (long-term flicker severity) menawarkan kerangka kuantitatif untuk memantau dan mengevaluasi keadaan fluktuasi tegangan dalam sistem distribusi atau instalasi listrik. Standar internasional seperti IEC 61000-4-15, IEC 61000-3-3 memberikan pedoman teknis dan batas‐batas yang harus dipenuhi.
Penyebab flicker sangat terkait dengan beban yang berubah cepat atau besar, serta jaringan yang memiliki impedansi sumber signifikan. Dampaknya mencakup gangguan pencahayaan, potensi kerusakan peralatan, dan risiko ekonomi di industri. Oleh karena itu, metode pengukuran dan analisa flicker secara sistematis adalah kunci untuk memahami dan melakukan tindakan mitigasi yang tepat.
Dengan pemahaman yang baik terhadap parameter-ukuran, standar, penyebab dan solusi flicker, engineer daya, manajer fasilitas, ataupun utilitas dapat merancang sistem yang lebih stabil dan nyaman bagi pengguna akhir.
Author: Muhamad Nurhuda Din Nulloh
References
- “Voltage Disturbances Flicker Measurement – Power Quality Blog”. (2021) – artikel teknis yang menjelaskan pengukuran flicker dan peralatan flickermeter.
- “1C.5.1 — Voltage Fluctuation and Flicker – Pacific Power”. Engineering Handbook. 2024.
- “Understanding IEEE Flicker, IFL, Pst, Plt” – white paper oleh PowerMonitors Library.
- “Flicker and Voltage Fluctuations in Power Quality Systems” – Elspec Ltd. (2023)
- “Electromagnetic Compatibility – IEC61000-3-3:2013 Flicker Analysis” – Newtons4th.
- “Voltage Fluctuation/Flicker International Standards and Measurement Techniques: Standard” – Yokogawa Test & Measurement.
- “Analysis of the Practical Implementation of Flicker Measurement” – MDPI Energies (2021)
- “Tutorial on Harmonics, Flicker and Related Immunity” – Absolute EMC (2018)
- Hioki Electric Co., Ltd. (2023). PQ3198 Power Quality Analyzer

